Witam, czy mogę poprosić o pomoc z granica ciągu z definicji? Mam problem z pozbyciem się wartości bezwzględnej. Czy tutaj trzeba rozpisać dwa przypadki?
Z góry dzięki za pomoc
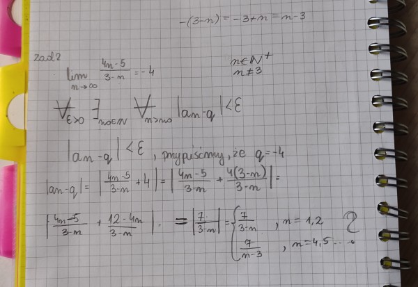
Granica ciągu z definicji
-
Yuriko1989
- Użytkownik

- Posty: 32
- Rejestracja: 7 gru 2013, o 12:02
- Płeć: Kobieta
- Lokalizacja: Katowice
- Podziękował: 10 razy
-
Jan Kraszewski
- Administrator

- Posty: 36039
- Rejestracja: 20 mar 2006, o 21:54
- Płeć: Mężczyzna
- Lokalizacja: Wrocław
- Podziękował: 6 razy
- Pomógł: 5340 razy
Re: Granica ciągu z definicji
Nie.
Zauważ, że dla ustalonego \(\displaystyle{ \varepsilon>0}\) musisz wskazać \(\displaystyle{ n_0\in\NN}\) takie, że dla \(\displaystyle{ n\ge n_0}\) zachodzi warunek \(\displaystyle{ \frac{7}{|3-n|}<\varepsilon.}\) Możesz zatem szukać \(\displaystyle{ n_0}\) tylko wśród liczb większych od \(\displaystyle{ 3.}\)
JK
-
Yuriko1989
- Użytkownik

- Posty: 32
- Rejestracja: 7 gru 2013, o 12:02
- Płeć: Kobieta
- Lokalizacja: Katowice
- Podziękował: 10 razy
-
Jan Kraszewski
- Administrator

- Posty: 36039
- Rejestracja: 20 mar 2006, o 21:54
- Płeć: Mężczyzna
- Lokalizacja: Wrocław
- Podziękował: 6 razy
- Pomógł: 5340 razy
Re: Granica ciągu z definicji
Jest źle - na kartce po prawej stronie od samej góry. Dlaczego tak?
JK
JK
-
Yuriko1989
- Użytkownik

- Posty: 32
- Rejestracja: 7 gru 2013, o 12:02
- Płeć: Kobieta
- Lokalizacja: Katowice
- Podziękował: 10 razy
-
Jan Kraszewski
- Administrator

- Posty: 36039
- Rejestracja: 20 mar 2006, o 21:54
- Płeć: Mężczyzna
- Lokalizacja: Wrocław
- Podziękował: 6 razy
- Pomógł: 5340 razy
Re: Granica ciągu z definicji
Gorzej. Druga linijka jest bardzo nieprawdziwa. Choć ciąg dalszy pokazuje, że uważasz, iż ten zapis znaczy co innego, niż naprawdę znaczy.
I nie tędy droga - masz wskazać konkretne \(\displaystyle{ n_0.}\) Zauważasz, że interesują cię tylko \(\displaystyle{ n>3}\) i nierówność \(\displaystyle{ \frac{7}{|3-n|}<\varepsilon}\) przyjmuje wtedy postać \(\displaystyle{ \frac{7}{n-3}<\varepsilon,}\) czyli, równoważnie, \(\displaystyle{ n-3>\frac{7}{\varepsilon},}\) czyli \(\displaystyle{ n>3+\frac{7}{\varepsilon},}\) Wystarczy zatem wziąć \(\displaystyle{ n_0=4+\left[ \frac{7}{\varepsilon}\right] }\) i zauważyć, że wtedy wszystkich \(\displaystyle{ n\ge n_0}\) zachodzi warunek \(\displaystyle{ \frac{7}{|3-n|}<\varepsilon.}\)
JK
I nie tędy droga - masz wskazać konkretne \(\displaystyle{ n_0.}\) Zauważasz, że interesują cię tylko \(\displaystyle{ n>3}\) i nierówność \(\displaystyle{ \frac{7}{|3-n|}<\varepsilon}\) przyjmuje wtedy postać \(\displaystyle{ \frac{7}{n-3}<\varepsilon,}\) czyli, równoważnie, \(\displaystyle{ n-3>\frac{7}{\varepsilon},}\) czyli \(\displaystyle{ n>3+\frac{7}{\varepsilon},}\) Wystarczy zatem wziąć \(\displaystyle{ n_0=4+\left[ \frac{7}{\varepsilon}\right] }\) i zauważyć, że wtedy wszystkich \(\displaystyle{ n\ge n_0}\) zachodzi warunek \(\displaystyle{ \frac{7}{|3-n|}<\varepsilon.}\)
JK