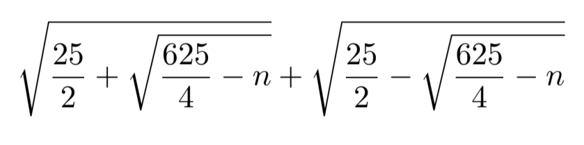
wartość wyrażenia liczbą naturalną
-
Brombal
- Użytkownik

- Posty: 592
- Rejestracja: 1 gru 2015, o 21:49
- Płeć: Mężczyzna
- Lokalizacja: Wrocław
- Podziękował: 7 razy
- Pomógł: 46 razy
Re: wartość wyrażenia liczbą naturalną
Jak widać liczba \(\displaystyle{ n}\) nie może być większa niż \(\displaystyle{ 156}\). Stąd wniosek, że jedyną liczbą naturalną spełniającą warunek jest \(\displaystyle{ n=144}\)
-
a4karo
- Użytkownik

- Posty: 22461
- Rejestracja: 15 maja 2011, o 20:55
- Płeć: Mężczyzna
- Lokalizacja: Bydgoszcz
- Podziękował: 43 razy
- Pomógł: 3852 razy
Re: wartość wyrażenia liczbą naturalną
Ciekawe stwierdzenie: tak jakby pomiędzy `1` i `156` nie było innych liczb naturalnych
Ostatnio zmieniony 9 lip 2024, o 06:57 przez admin, łącznie zmieniany 1 raz.
Powód: Usunięto cytowany tekst. Nie cytujemy całej treści postu, jeśli odpowiadamy bezpośrednio pod tym postem!
Powód: Usunięto cytowany tekst. Nie cytujemy całej treści postu, jeśli odpowiadamy bezpośrednio pod tym postem!
-
Brombal
- Użytkownik

- Posty: 592
- Rejestracja: 1 gru 2015, o 21:49
- Płeć: Mężczyzna
- Lokalizacja: Wrocław
- Podziękował: 7 razy
- Pomógł: 46 razy
Re: wartość wyrażenia liczbą naturalną
Bywają ale wynik jest słabowity
Ostatnio zmieniony 9 lip 2024, o 06:57 przez admin, łącznie zmieniany 1 raz.
Powód: Usunięto cytowany tekst. Nie cytujemy całej treści postu, jeśli odpowiadamy bezpośrednio pod tym postem!
Powód: Usunięto cytowany tekst. Nie cytujemy całej treści postu, jeśli odpowiadamy bezpośrednio pod tym postem!
-
Jan Kraszewski
- Administrator

- Posty: 36042
- Rejestracja: 20 mar 2006, o 21:54
- Płeć: Mężczyzna
- Lokalizacja: Wrocław
- Podziękował: 6 razy
- Pomógł: 5340 razy
Re: wartość wyrażenia liczbą naturalną
Rozumiem, że zastosowałeś brute force i sprawdziłeś wszystkie?
-
klimat
- Użytkownik

- Posty: 128
- Rejestracja: 13 paź 2017, o 08:24
- Płeć: Mężczyzna
- Lokalizacja: Tu
- Podziękował: 43 razy
- Pomógł: 1 raz
Re: wartość wyrażenia liczbą naturalną
Znalazłem rozwiązanieklimat pisze: 8 lip 2024, o 08:59 Wyznacz wszystkie liczby naturalne n tak aby wartość wyrażenia była też liczbą naturalną
https://www.math.olympiaadid.ut.ee/eng/archive/bw/bw93sol.pdf
Ostatnio zmieniony 9 lip 2024, o 06:56 przez admin, łącznie zmieniany 1 raz.
Powód: Usunięto aktywny link do strony zewnętrznej!
Powód: Usunięto aktywny link do strony zewnętrznej!