Uzasadnij istnienie funkcji uwikłanej
-
gauss2718
- Użytkownik

- Posty: 11
- Rejestracja: 20 cze 2022, o 17:18
- Płeć: Mężczyzna
- wiek: 24
- Podziękował: 4 razy
Uzasadnij istnienie funkcji uwikłanej
Czy dobrze myślę, że do rozwiązania zadania 2A należy tylko sprawdzić warunek, który wpisałem pod spodem na czerwono?
-
gauss2718
- Użytkownik

- Posty: 11
- Rejestracja: 20 cze 2022, o 17:18
- Płeć: Mężczyzna
- wiek: 24
- Podziękował: 4 razy
Re: Uzasadnij istnienie funkcji uwikłanej
Pomyślałem i nic to nie dało.
Umiem dobrze liczyć pochodne, potrzebuję tylko wiedzieć, o jakie tu warunki chodzi.
Umiem dobrze liczyć pochodne, potrzebuję tylko wiedzieć, o jakie tu warunki chodzi.
-
a4karo
- Użytkownik

- Posty: 22469
- Rejestracja: 15 maja 2011, o 20:55
- Płeć: Mężczyzna
- Lokalizacja: Bydgoszcz
- Podziękował: 43 razy
- Pomógł: 3855 razy
Re: Uzasadnij istnienie funkcji uwikłanej
A próbowałeś postawić do równania współrzędne punktu?
Dodano po 2 minutach 51 sekundach:
Sorry, nie doczytałem że chodzi o trzy zmienne.
Dodano po 2 minutach 51 sekundach:
Sorry, nie doczytałem że chodzi o trzy zmienne.
-
gauss2718
- Użytkownik

- Posty: 11
- Rejestracja: 20 cze 2022, o 17:18
- Płeć: Mężczyzna
- wiek: 24
- Podziękował: 4 razy
Re: Uzasadnij istnienie funkcji uwikłanej
Punkt (x,y,z)=(0,1,0) spełnia to równanie i sprawdziłem to na samym początku.
Zapomniałem o tym wspomnieć, bo uznałem to za oczywiste.
Podsumowując: żeby rozwiązać 2A, nalezy:
1) sprawdzić, czy punkt spełnia równanie
2) sprawdzić czerwony warunek z załącznika
I nic więcej. Czy teraz jest dobrze?
Zapomniałem o tym wspomnieć, bo uznałem to za oczywiste.
Podsumowując: żeby rozwiązać 2A, nalezy:
1) sprawdzić, czy punkt spełnia równanie
2) sprawdzić czerwony warunek z załącznika
I nic więcej. Czy teraz jest dobrze?
-
a4karo
- Użytkownik

- Posty: 22469
- Rejestracja: 15 maja 2011, o 20:55
- Płeć: Mężczyzna
- Lokalizacja: Bydgoszcz
- Podziękował: 43 razy
- Pomógł: 3855 razy
Re: Uzasadnij istnienie funkcji uwikłanej
Wygląda ok.
zauważ, że tę funkcje da się rozwikłać. Po prostu wylicz `y`. Zastanów się co by było, gdyby punktem wyjściowym był `(x,z)=(1,0)`
zauważ, że tę funkcje da się rozwikłać. Po prostu wylicz `y`. Zastanów się co by było, gdyby punktem wyjściowym był `(x,z)=(1,0)`
-
gauss2718
- Użytkownik

- Posty: 11
- Rejestracja: 20 cze 2022, o 17:18
- Płeć: Mężczyzna
- wiek: 24
- Podziękował: 4 razy
Re: Uzasadnij istnienie funkcji uwikłanej
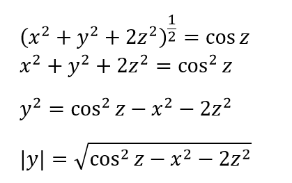
Wyliczyłem \(\displaystyle{ y}\) w załączniku.
Po podstawieniu \(\displaystyle{ x=0}\) oraz \(\displaystyle{ z=0}\) dostajemy \(\displaystyle{ |y|=1}\). Czyli niby są dwa rozwiązania, ale lokalnie, w otoczeniu punktu \(\displaystyle{ (x,y,z)=(0,1,0)}\), jedno.
Gdyby \(\displaystyle{ (x,z)=(1,0)}\) to wtedy \(\displaystyle{ |y|=0}\) i w otoczeniu punktu \(\displaystyle{ (x,y,z)=(1,0,0)}\) są dwa rozwiązania, czyli NIE jest to funkcja uwikłana \(\displaystyle{ y(x,z)}\).
Po podstawieniu \(\displaystyle{ x=0}\) oraz \(\displaystyle{ z=0}\) dostajemy \(\displaystyle{ |y|=1}\). Czyli niby są dwa rozwiązania, ale lokalnie, w otoczeniu punktu \(\displaystyle{ (x,y,z)=(0,1,0)}\), jedno.
Gdyby \(\displaystyle{ (x,z)=(1,0)}\) to wtedy \(\displaystyle{ |y|=0}\) i w otoczeniu punktu \(\displaystyle{ (x,y,z)=(1,0,0)}\) są dwa rozwiązania, czyli NIE jest to funkcja uwikłana \(\displaystyle{ y(x,z)}\).
- Załączniki
-
- ifu4.png (8.94 KiB) Przejrzano 965 razy