Cześć,
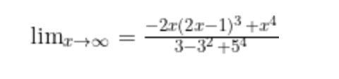
mam problem z obliczeniem dwóch granic. W poniżym przykładnie kompletnie nie wychodzi mi wyniki, zastosowałem wyciąganie najwyższych potęg. Wolframalpha pokazuje wyniki -3. Niestety nie wychodzi mi taki wyniki.
W poniżym przykładzie zastosowałem mnożenie przez sprzężenie i również wyniki różni się od tego z Wolframalpha.
Granice funkcji
-
Jan Kraszewski
- Administrator

- Posty: 36105
- Rejestracja: 20 mar 2006, o 21:54
- Płeć: Mężczyzna
- Lokalizacja: Wrocław
- Podziękował: 6 razy
- Pomógł: 5347 razy
Re: Granice funkcji
Pierwszy przykład jest ewidentnie źle przepisany, bo w mianowniku nie ma żadnych \(\displaystyle{ x}\)-ów.
W obu przypadkach jak pokażesz rachunki, to powiemy Ci, gdzie się mylisz.
JK
PS Równość pisze się na końcu, a nie w środku...
W obu przypadkach jak pokażesz rachunki, to powiemy Ci, gdzie się mylisz.
JK
PS Równość pisze się na końcu, a nie w środku...
