Zwracam się z prośbą o wykonanie obliczeń na przykładowych danych.
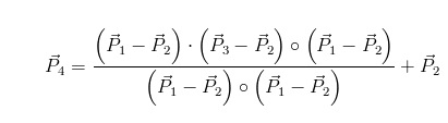
Rzutowanie punktu \(\displaystyle{ P_3}\) na prostą zdefiniowaną dwoma punktami \(\displaystyle{ P_1, P_2}\) można zrealizować w oparciu o wzór: w załączniku (wraz z rysunkiem).
Przykładowe dane:
\(\displaystyle{ P_1 = (0 , 0)\\
P_2 = (8 , 6)\\
P_3 = (6 , 2)}\)
Rzutowanie punktu na prostą zdefiniowaną dwoma punktami [wektory]
-
Sabat
- Użytkownik

- Posty: 11
- Rejestracja: 7 kwie 2012, o 20:53
- Płeć: Mężczyzna
- Lokalizacja: R4
- Podziękował: 1 raz
Rzutowanie punktu na prostą zdefiniowaną dwoma punktami [wektory]
- Załączniki
-
- Wzór.jpg (10.56 KiB) Przejrzano 680 razy
-
- Rysunek.jpg (12.45 KiB) Przejrzano 680 razy
Ostatnio zmieniony 23 wrz 2022, o 12:48 przez Jan Kraszewski, łącznie zmieniany 1 raz.
Powód: Brak LaTeXa - proszę zapoznać się z instrukcją: https://matematyka.pl/latex.htm.
Powód: Brak LaTeXa - proszę zapoznać się z instrukcją: https://matematyka.pl/latex.htm.
-
janusz47
- Użytkownik

- Posty: 8035
- Rejestracja: 18 mar 2009, o 16:24
- Płeć: Mężczyzna
- Podziękował: 30 razy
- Pomógł: 1707 razy
Re: Rzutowanie punktu na prostą zdefiniowaną dwoma punktami [wektory]
Punktów się nie " strzałkuje". "Strzałkujemy" wektory - różnice punktów.
Nie można brać wzoru i nie wiedzieć jak z niego skorzystać. Nie można uczyć się geometrii analitycznej na pamięć.
Proszę wykonać rysunek w układzie współrzędnych prostokątnych \(\displaystyle{ Oxy }\) i skorzystać z pojęcia rzutu prostopadłego punktu \(\displaystyle{ X }\) na prostą \(\displaystyle{ L }\) jako takiego punktu \(\displaystyle{ X' }\) na prostej \(\displaystyle{ L, }\) że różnica \(\displaystyle{ X - X' }\) jest wektorem prostopadłym do \(\displaystyle{ L.}\)
Nie można brać wzoru i nie wiedzieć jak z niego skorzystać. Nie można uczyć się geometrii analitycznej na pamięć.
Proszę wykonać rysunek w układzie współrzędnych prostokątnych \(\displaystyle{ Oxy }\) i skorzystać z pojęcia rzutu prostopadłego punktu \(\displaystyle{ X }\) na prostą \(\displaystyle{ L }\) jako takiego punktu \(\displaystyle{ X' }\) na prostej \(\displaystyle{ L, }\) że różnica \(\displaystyle{ X - X' }\) jest wektorem prostopadłym do \(\displaystyle{ L.}\)
-
Sabat
- Użytkownik

- Posty: 11
- Rejestracja: 7 kwie 2012, o 20:53
- Płeć: Mężczyzna
- Lokalizacja: R4
- Podziękował: 1 raz
Re: Rzutowanie punktu na prostą zdefiniowaną dwoma punktami [wektory]
Dokładnie ciężko się zorientować co jest wektorem a co punktem.Punktów się nie " strzałkuje". "Strzałkujemy" wektory - różnice punktów.
Właśnie chcę to zrozumieć.Nie można brać wzoru i nie wiedzieć jak z niego skorzystać. Nie można uczyć się geometrii analitycznej na pamięć.
Wykonałem rysunek.Proszę wykonać rysunek w układzie współrzędnych prostokątnych Oxy i skorzystać z pojęcia rzutu prostopadłego punktu X na prostą L jako takiego punktu X′ na prostej L, że różnica X−X′ jest wektorem prostopadłym do L.
- Załączniki
-
- Rys 2.jpg (18.15 KiB) Przejrzano 619 razy
-
janusz47
- Użytkownik

- Posty: 8035
- Rejestracja: 18 mar 2009, o 16:24
- Płeć: Mężczyzna
- Podziękował: 30 razy
- Pomógł: 1707 razy
Re: Rzutowanie punktu na prostą zdefiniowaną dwoma punktami [wektory]
Musimy odróżniać punkt od wektora.
Tworzymy wektor kierunkowy prostej
\(\displaystyle{ \vec{U} =(\vec{P_{2}-P_{1}}) = \left(\begin{matrix} 8 - 0 \\ 6 - 0 \end{matrix} \right) = \left(\begin{matrix} 8 \\ 6 \end{matrix} \right). }\)
Prostą wzdłuż wektora \(\displaystyle{ \vec{U} }\), czyli prostą przechodzącą przez początek układu możemy zapisać jako
\(\displaystyle{ L = t\cdot \vec{U} = \left(\begin{matrix} 8t \\ 6t \end{matrix} \right), t \in \RR.}\)
Dla takiej prostej znajdujemy rzut prostopadły wektora \(\displaystyle{ \vec{X} }\) na \(\displaystyle{ L.}\)
Zadanie sprowadza się do znalezienia odpowiedniej wartości parametru \(\displaystyle{ t}\) tak aby \(\displaystyle{ \vec{X'} = t\cdot\vec{U}, }\) będący
rzutem wektora na prostą wzdłuż \(\displaystyle{ \vec{U} }\) spełniał warunki określone w definicji rzutu wektora na prostą czyli, aby
\(\displaystyle{ \vec{X} - \vec{X'} = \vec{X} - t\vec{U} = \left(\begin{matrix} x - 8t \\ y -6t \end{matrix} \right) }\) był prostopadły do tej prostej, a tym
samym był prostopadły do wektora \(\displaystyle{ \vec{U}. }\)
Musi więc zachodzić równość
\(\displaystyle{ (\vec{X} -\vec{X'})\cdot \vec{U} = 0, }\)
\(\displaystyle{ \left(\begin{matrix} x - 8t \\ y -6t \end{matrix} \right)\cdot \left(\begin{matrix} 8 \\ 6 \end{matrix} \right) = 8x -64t +6y -36t = 0. }\)
Stąd
\(\displaystyle{ -100t +8x +6y = 0, \ \ t = \frac{8x - 6y}{100} = \frac{4x +3y}{50}. }\)
Wektor \(\displaystyle{ \vec{X'} }\) możemy więc zapisać jako
\(\displaystyle{ \vec{X'} = t \cdot U = \frac{4x+3y}{50}\left(\begin{matrix} 8 \\ 6 \end{matrix} \right) = \left(\begin{matrix} \frac{32x +24y}{50} \\ \frac{24x + 18 y }{50} \end{matrix} \right) = \left(\begin{matrix} \frac{32}{50}x + \frac{24}{50}y \\ \frac{24}{50} x + \frac{18}{50}y \end{matrix}\right) =\left(\begin{matrix} \frac{32}{50} & \frac{24}{50} \\ \frac{24}{50} & \frac{18}{50} \end{matrix}\right) \left(\begin{matrix} x\\ y \end{matrix}\right) \ \ (*)}\)
Otrzymaliśmy wzór zgodny z postacią przekształcenia liniowego. Rzut punktu na prostą jest przekształceniem liniowym. W zadaniu jest to
przekształcenie liniowe o macierzy
\(\displaystyle{ M = \left(\begin{matrix} \frac{32}{50} & \frac{24}{50} \\ \frac{24}{50} & \frac{18}{50} \end{matrix}\right) = \left(\begin{matrix} \frac{16}{25} & \frac{12}{25} \\ \frac{12}{25} & \frac{9}{25} \end{matrix}\right).}\)
Podstawiamy współrzędne punktu \(\displaystyle{ P_{3} = (x,y) =( 6, 8 ) }\) do \(\displaystyle{ (*) }\), otrzymujemy
\(\displaystyle{ \left(\begin{matrix} \frac{16}{25} & \frac{12}{25} \\ \frac{12}{25} & \frac{9}{25} \end{matrix}\right) \left(\begin{matrix} 6\\ 8 \end{matrix}\right) = \left(\begin{matrix} \frac{16}{25}\cdot 6 + \frac{12}{25}\cdot 8 \\ \frac{12}{25}\cdot 6 + \frac{9}{25}\cdot 8 \end{matrix}\right)=
\left(\begin{matrix} \frac{192}{25}\\ \frac{144}{25} \end{matrix} \right) = \left(\begin{matrix} 7,68 \\ 5,76 \end{matrix} \right)}\)
współrzędne punktu \(\displaystyle{ P_{4}. }\)
Zadanie można rozwiązać metodą szkolną, pisząc równanie prostej \(\displaystyle{ y = \frac{6}{8}x = \frac{3}{4}x }\) i do niej prostą - prostopadłą, przechodzącą przez punkt \(\displaystyle{ P_{3} = (6,8)}\) o równaniu \(\displaystyle{ y_{\perp} = - \frac{4}{3} + 16. }\)
Z układu równań prostych
\(\displaystyle{ \begin{cases} y = \frac{3}{4}x \\ y_{\perp} = -\frac{4}{3}x + 16 \end{cases} }\) znajdujemy współrzędne punktu ich przecięcia \(\displaystyle{ P_{4}.}\)
Tworzymy wektor kierunkowy prostej
\(\displaystyle{ \vec{U} =(\vec{P_{2}-P_{1}}) = \left(\begin{matrix} 8 - 0 \\ 6 - 0 \end{matrix} \right) = \left(\begin{matrix} 8 \\ 6 \end{matrix} \right). }\)
Prostą wzdłuż wektora \(\displaystyle{ \vec{U} }\), czyli prostą przechodzącą przez początek układu możemy zapisać jako
\(\displaystyle{ L = t\cdot \vec{U} = \left(\begin{matrix} 8t \\ 6t \end{matrix} \right), t \in \RR.}\)
Dla takiej prostej znajdujemy rzut prostopadły wektora \(\displaystyle{ \vec{X} }\) na \(\displaystyle{ L.}\)
Zadanie sprowadza się do znalezienia odpowiedniej wartości parametru \(\displaystyle{ t}\) tak aby \(\displaystyle{ \vec{X'} = t\cdot\vec{U}, }\) będący
rzutem wektora na prostą wzdłuż \(\displaystyle{ \vec{U} }\) spełniał warunki określone w definicji rzutu wektora na prostą czyli, aby
\(\displaystyle{ \vec{X} - \vec{X'} = \vec{X} - t\vec{U} = \left(\begin{matrix} x - 8t \\ y -6t \end{matrix} \right) }\) był prostopadły do tej prostej, a tym
samym był prostopadły do wektora \(\displaystyle{ \vec{U}. }\)
Musi więc zachodzić równość
\(\displaystyle{ (\vec{X} -\vec{X'})\cdot \vec{U} = 0, }\)
\(\displaystyle{ \left(\begin{matrix} x - 8t \\ y -6t \end{matrix} \right)\cdot \left(\begin{matrix} 8 \\ 6 \end{matrix} \right) = 8x -64t +6y -36t = 0. }\)
Stąd
\(\displaystyle{ -100t +8x +6y = 0, \ \ t = \frac{8x - 6y}{100} = \frac{4x +3y}{50}. }\)
Wektor \(\displaystyle{ \vec{X'} }\) możemy więc zapisać jako
\(\displaystyle{ \vec{X'} = t \cdot U = \frac{4x+3y}{50}\left(\begin{matrix} 8 \\ 6 \end{matrix} \right) = \left(\begin{matrix} \frac{32x +24y}{50} \\ \frac{24x + 18 y }{50} \end{matrix} \right) = \left(\begin{matrix} \frac{32}{50}x + \frac{24}{50}y \\ \frac{24}{50} x + \frac{18}{50}y \end{matrix}\right) =\left(\begin{matrix} \frac{32}{50} & \frac{24}{50} \\ \frac{24}{50} & \frac{18}{50} \end{matrix}\right) \left(\begin{matrix} x\\ y \end{matrix}\right) \ \ (*)}\)
Otrzymaliśmy wzór zgodny z postacią przekształcenia liniowego. Rzut punktu na prostą jest przekształceniem liniowym. W zadaniu jest to
przekształcenie liniowe o macierzy
\(\displaystyle{ M = \left(\begin{matrix} \frac{32}{50} & \frac{24}{50} \\ \frac{24}{50} & \frac{18}{50} \end{matrix}\right) = \left(\begin{matrix} \frac{16}{25} & \frac{12}{25} \\ \frac{12}{25} & \frac{9}{25} \end{matrix}\right).}\)
Podstawiamy współrzędne punktu \(\displaystyle{ P_{3} = (x,y) =( 6, 8 ) }\) do \(\displaystyle{ (*) }\), otrzymujemy
\(\displaystyle{ \left(\begin{matrix} \frac{16}{25} & \frac{12}{25} \\ \frac{12}{25} & \frac{9}{25} \end{matrix}\right) \left(\begin{matrix} 6\\ 8 \end{matrix}\right) = \left(\begin{matrix} \frac{16}{25}\cdot 6 + \frac{12}{25}\cdot 8 \\ \frac{12}{25}\cdot 6 + \frac{9}{25}\cdot 8 \end{matrix}\right)=
\left(\begin{matrix} \frac{192}{25}\\ \frac{144}{25} \end{matrix} \right) = \left(\begin{matrix} 7,68 \\ 5,76 \end{matrix} \right)}\)
współrzędne punktu \(\displaystyle{ P_{4}. }\)
Zadanie można rozwiązać metodą szkolną, pisząc równanie prostej \(\displaystyle{ y = \frac{6}{8}x = \frac{3}{4}x }\) i do niej prostą - prostopadłą, przechodzącą przez punkt \(\displaystyle{ P_{3} = (6,8)}\) o równaniu \(\displaystyle{ y_{\perp} = - \frac{4}{3} + 16. }\)
Z układu równań prostych
\(\displaystyle{ \begin{cases} y = \frac{3}{4}x \\ y_{\perp} = -\frac{4}{3}x + 16 \end{cases} }\) znajdujemy współrzędne punktu ich przecięcia \(\displaystyle{ P_{4}.}\)
-
janusz47
- Użytkownik

- Posty: 8035
- Rejestracja: 18 mar 2009, o 16:24
- Płeć: Mężczyzna
- Podziękował: 30 razy
- Pomógł: 1707 razy
Re: Rzutowanie punktu na prostą zdefiniowaną dwoma punktami [wektory]
Dla punktu \(\displaystyle{ P_{3} = (6, 2) }\) otrzymujemy punkt o współrzędnych:
\(\displaystyle{ P_{4} = \left( \begin{matrix} \frac{16}{25} & \frac{12}{25} \\ \frac{12}{25} & \frac{9}{25} \end{matrix}\right) \cdot \left( \begin{matrix} 6 \\ 2 \end{matrix} \right) = \left( \begin{matrix} \frac{96}{25} + \frac{24}{25} \\ \frac{72}{25} + \frac{18}{25} \end{matrix}\right) = \left( \begin{matrix} \frac{120}{25} \\ \frac{90}{25} \end{matrix} \right) = \left( \begin{matrix} \frac{24}{5} \\ \frac{18}{5} \end{matrix} \right)= \left( \begin{matrix} 4,8 \\ 3,6 \end{matrix} \right).}\)
Proszę wykonać rysunek.
\(\displaystyle{ P_{4} = \left( \begin{matrix} \frac{16}{25} & \frac{12}{25} \\ \frac{12}{25} & \frac{9}{25} \end{matrix}\right) \cdot \left( \begin{matrix} 6 \\ 2 \end{matrix} \right) = \left( \begin{matrix} \frac{96}{25} + \frac{24}{25} \\ \frac{72}{25} + \frac{18}{25} \end{matrix}\right) = \left( \begin{matrix} \frac{120}{25} \\ \frac{90}{25} \end{matrix} \right) = \left( \begin{matrix} \frac{24}{5} \\ \frac{18}{5} \end{matrix} \right)= \left( \begin{matrix} 4,8 \\ 3,6 \end{matrix} \right).}\)
Proszę wykonać rysunek.