Znaleziono 2 wyniki

autor: Ewa_
10 sty 2022, o 12:04
Forum: Granica i ciągłość funkcji
Temat: Zbadać ciągłość funkcji
Odpowiedzi: 1
Odsłony: 594

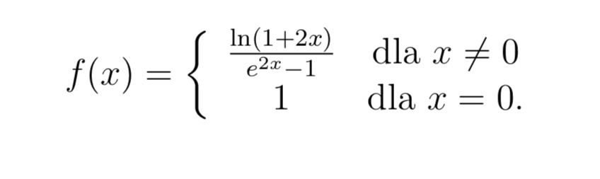
Zbadać ciągłość funkcji

Czy ktoś mi by wytłumaczyłem te zadanie?
4A3D2D05-A859-47BA-B5F3-2736E0586580.jpeg
autor: Ewa_
10 sty 2022, o 12:01
Forum: Własności i granice ciągów
Temat: Oblicz granicę
Odpowiedzi: 1
Odsłony: 405

Oblicz granicę

\(\displaystyle{ \lim_{n\to \infty} \left( \frac{2x}{2x-1}\right)^{3x}}\)